Nigerian Army Shortlisted Candidates for SSC 49/2026 Full List PDF is Out: How to Check, Requirements & Screening Date
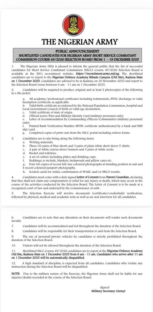
Nigerian Army Shortlist for SSC: The Nigerian Army has officially released the shortlist for the Short Service Combatant Commission (SSC) Course 49/2026. All shortlisted candidates are required to report for the Selection Board Exercise scheduled from 1 – 19 December 2025 at the Nigerian Defence Academy (NDA) Ribadu Campus, Old Site, Kaduna State.
This guide explains how to check the Nigerian Army shortlist, reporting instructions, full requirements, documents needed, and all essential details for SSC 49/2026 candidates.
How to Check Nigerian Army Shortlist for SSC 49/2026
All candidates can check the Nigerian Army SSC 49/2026 shortlist through the official recruitment portal or check it here or download on RecruitmentPQ:
Nigerian Army SSC Shortlist PDF Download
To download the full list of successfully shortlisted candidates for the Nigerian SSC recruitment, click HERE NOW to download PDF: Nigerian Army Shortlisted Candidates for SSC 49/2026 Full List PDF
OR VIEW BELOW:
Steps to Check:
- Visit the official Nigerian Army recruitment portal: https://recruitment.army.mil.ng
- Click on SSC 49/2026 Shortlisted Candidates.
- Download the PDF list for your state.
- Search for your name and application number in the shortlist.
Candidates are strongly advised to read all instructions attached to the shortlist to avoid disqualification.
Nigerian Army SSC 49/2026 Screening Venue
- Venue: Nigerian Defence Academy (NDA) Ribadu Campus, Old Site, Kaduna State
Nigerian Army SSC 49/2026 Screening Date
The Nigerian Army SSC 49/2026 Selection Board Screening Exercise will hold from 1 to 19 December 2025, and all shortlisted candidates must report to the Nigerian Defence Academy (NDA) Ribadu Campus, Old Site, Kaduna State, between 6 am and 11 am on 1 December 2025.
- Important:
Any candidate who arrives after 11 am on 1 December 2025 will be automatically disqualified.
Documents Required for Nigerian Army SSC 49/2026 Screening
Candidates must present originals and at least two photocopies of the following documents:
- Academic certificates and testimonials
- NYSC discharge or exemption certificate
- Valid birth certificate from NPC, hospital, or local government
- Certificate of state of origin
- Military pass/ID card (for serving personnel)
- Letter of recommendation from Commanding Officer (military personnel only)
- Bank-authenticated BVN slip and NIN slip
- Completed SSC 49/2026 online application forms and referee forms

Additional Items to Bring for SSC 49/2026 Selection Board
Shortlisted candidates must also come with the following items:
- Writing materials
- Three pairs of blue shorts and three pairs of plain white T-shirts
- White canvas shoes/trainers and white socks
- Bucket and toiletries
- Cutlery set (plate and drinking cup)
- Bedding materials (blankets, bedsheets, pillowcases)
- Four full-size coloured photographs in suit
- Four recent coloured passport photographs
- Scratch cards for WAEC and/or NECO verification
Letter of Consent Requirement
All candidates must provide a signed Letter of Consent from their parent or guardian stating acceptance of risk during the exercise.
The letter must be signed in a court of law and endorsed by a Commissioner for Oaths.
What to Expect During the Nigerian Army SSC 49/2026 Selection Exercise
The selection process will include:
- Verification of certificates
- Physical fitness assessment
- Medical examination
- Academic evaluation
- Oral interviews
Candidates must maintain discipline throughout the process. Any misconduct leads to instant disqualification.
Important Instructions for All Shortlisted Candidates
- Do not alter or tamper with any documents; altered documents are invalid
- Accommodation and feeding will be provided by the Nigerian Army
- Candidates are responsible for their transportation to/from Kaduna
- Personal or private vehicles are not allowed
- Visitors are not permitted during the exercise
- Late arrival results in automatic disqualification
Note:
The Nigerian Army will not be liable for injuries or death during the exercise due to its military nature.
The release of the Nigerian Army Shortlisted Candidates for SSC 49/2026 marks the beginning of the Selection Board phase. All candidates must strictly follow the instructions to avoid disqualification.
Good luck!




